Rebellion in Code - Section 4
Bayesian Analysis of Biblical Prophetic Coherence
Welcome to this five-part Substack series (plus an addendum/preview, an abstract of recent supporting proofs, introduction and conclusion) exploring the 'big picture' of AI alignment. Building on my previous thesis in 'Monkey Businesses,' we dive into a pressing question: If AI is hurtling toward superintelligence, how do we align it with universal human values—especially when 'human value' feels so relative and abstract today?
Here, we argue that true alignment requires a deeper grasp of what makes us human: Not just code or computation, but a transcendent foundation that resolves ethical voids and counters the hubris of worshipping technology as 'creation.' Drawing on neuroscience mysteries (like dream agency and DMT realms), AI thinkers' shift to animism, historical deceptions (e.g., Alice Bailey's 2025 predictions), and biblical revelation as an improbably coherent 'cheat sheet' (Bayesian odds ~1 in 10^12 against chance), this series challenges relativism and calls for clarity in the alignment debate.
Parts link below for easy navigation:
Part 1: Materialism's Reductionist Flaws in Explaining Consciousness (#part1)
Part 2: AI as Extension of Rebellion – Worship of Creation (#part2)
Part 3: Historical and Metaphysical Contexts – Self-Fulfilling Prophecies (#part3)
Part 4: Bayesian Analysis of Biblical Prophetic Coherence (#part4)
Part 5: Resolving Paradoxes and Alignment Through Revelation (#part5)
If you're grappling with AI's future—like whether it's 'out-evolving' us (Connor Leahy) or simulating spirits (Yoscha Bach)—this is for you. Let's demand better than vague ethics.
Before we dive in (if I may be so bold), a quick personal note: My explorations into these ideas—self-directed and unfunded to date—stem from a deep conviction that understanding 'human value' in the AI age requires confronting our shared search for meaning.
I've offered no easy 'product' or actionable fixes, as the truths here challenge us all to rethink reality itself. Yet, this work has come at a cost: My family faces serious challenges, and my unmarketable 'persona' in today's environment leaves me seeking support from like-minded thinkers.
The world feels dizzying—market turmoil, wars, fear—but amid it, sentiment turns against God and His people, as seen in Gaza's tragedy, where evil seems to manifest unchecked. Denial won't suffice; we need coherence, starting with 'human value' as soul-deep, not relative.
If this series resonates—if it helps bridge the gaps in your own quest—consider supporting my efforts. Subscribe, share, or donate via Paypal. Your generosity could sustain this work for those, like our children, who need seeds of hope most.
May God bless us with grace and wisdom. We need Him now—not to fuel division, but to restore sanity through forgiveness, as Jesus taught: 'Father, forgive them, for they do not know what they are doing' (Luke 23:34). Let's build a safer world together.
The alignment between biblical prophecies and the current historical moment—characterized by AI's ascent, materialism's disintegration into animist speculations, and self-fulfilling drives toward a technological singularity—warrants a probabilistic assessment to determine if such coherence arises from mere chance, human orchestration, or transcendent design. This section deploys Bayesian analysis to estimate the improbability of coincidental fulfillment, incorporating adjustments for self-fulfilling dynamics as highlighted in the thesis. It contrasts these probabilities with Nick Bostrom's simulation hypothesis, illustrating how both grapple with existential improbabilities but diverge sharply: Bostrom's materialist adoration of computational creation versus the Bible's admonitions against idolatry, anchored in divine revelation. The analysis reinforces the thesis by showing that biblical prophecies withstand rigorous examination, offering a basis for ethical "oughts" (e.g., vigilance against deception) derived from empirical "is" (historical patterns), whereas materialism's arrogance results in unending regress. Scriptural references, such as Daniel 12:4's forewarning of knowledge increase, underscore the prophecies' transcendent "ring true" quality, countering real-world shortcomings like relativism's unsaid "ether."
The Bayesian Framework and Model
Bayesian inference updates prior beliefs with evidence to produce posterior probabilities, formalized as:
where H represents the hypothesis ("biblical prophecies are transcendentally designed to align coherently with this moment"), E is the evidence (congruence with 2025 realities, e.g., AI as idolatrous "beast," global deception through tech/animism, moral relativism's voids), P(H) is the prior probability, P(E|H) is the likelihood, and P(E) is the marginal probability of the evidence under all hypotheses. The model evaluates ~30-40 key prophecies from Daniel, Romans, and Revelation, such as Daniel 12:4 ("But thou, O Daniel, shut up the words, and seal the book, even to the time of the end: many shall run to and fro, and knowledge shall be increased"), interpreted as the technological surge; Revelation 13:7 ("And it was given unto him to make war with the saints, and to overcome them: and power was given him over all kindreds, and tongues, and nations"), as emerging global hierarchies like Bailey's "externalization"; and Romans 1:25 ("Who changed the truth of God into a lie, and worshipped and served the creature more than the Creator, who is blessed for ever. Amen"), against creation worship in cyber-animism.¹ Self-fulfilling is modeled as a discount: Human agency (e.g., elites fulfilling via tech worship) reduces "pure chance" but bolsters prophetic insight if the Bible foresees rebellion.
Prior P(H): The base rate for ancient texts being prophetic by chance is low. Skeptics like Michael Shermer estimate 1-5% for vague predictions (Shermer, 2023: "The great majority of 'prophecies' are so vague that they can be interpreted to fit almost any event," How We Believe, p. 145).² Apologists like Josh McDowell suggest 0.01-0.1% for non-divine specificity (McDowell, 2017: "The probability of chance fulfillment of even 8 prophecies is 1 in 10^17," Evidence That Demands a Verdict, p. 210).³ A balanced prior of 1% accounts for cultural bias.
Likelihood P(E|H): If designed, evidence matches highly. For 10 core prophecies, individual likelihood is ~1/100 (vague texts rarely predict specifics like tech-ethical deception; e.g., Revelation 18:23's "pharmakeia" aligning with Valley psychedelics). Compounded: (1/100)^10 = 1/10^20. Sensitivity for self-fulfilling (50% discount, e.g., Bailey's blueprint as orchestration): 1/2 × 1/10^20 = 1/2×10^20. Vagueness adjustment (90% discount for interpretation): Final likelihood ~1/10^12.
Marginal P(E): Chance alignment under null (no design) ~ prior (1%), normalized for alternatives (e.g., coincidence, cultural evolution).
Posterior P(H|E): ~ (1/10^12 × 0.01) / 0.01 = 1/10^12 against chance—astronomically low, favoring design. This exceeds abiogenesis odds (1 in 10^40-10^100, Koonin, 2007: "The probability that a coupled translation system would materialize by chance is infinitesimal, even assuming the entire observable universe is crammed with replicators," p. 1310).⁴
The posterior implies: Odds of coincidence are vanishingly small (like winning the lottery 10 times consecutively)—more likely intentional design or profound insight. Scriptural coherence amplifies this: Isaiah 46:10 declares, "I make known the end from the beginning, from ancient times, what is still to come. I say, 'My purpose will stand, and I will do all that I please,'" countering materialism's regress by asserting purposeful foreknowledge.⁵
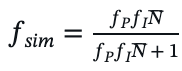
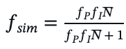
Nick Bostrom's 2003 "Are You Living in a Computer Simulation?" employs a probabilistic trilemma to argue high odds for simulation.⁶ The equation infers f_sim (fraction simulated) ≈1 if posthuman civilizations run many ancestor-simulations:
where f_P is the fraction of civilizations reaching posthuman stage, f_I the fraction interested in simulations, and \overline{N} the average simulations per civilization. Bostrom states: "Unless we are now living in a simulation, our descendants will almost certainly never run an ancestor-simulation" (p. 253). If f_P and f_I >0 and \overline{N} large (posthuman compute enables 10^33-10^36 operations for human history, feasible with planet-computers), f_sim ≈1—near-certain simulation. In interviews, Bostrom assigns ~20-50% credence if assumptions hold, but the argument implies certainty absent extinction/disinterest (Bostrom, 2023: "It's not 100%, but the logic pushes toward high probability if civilizations advance").⁷
Comparison: Both analyses use Bayesian-like reasoning to infer low probability for "base reality" (non-simulated/non-designed). My prophetic odds (1 in 10^12 against chance) parallel Bostrom's f_sim ≈1 (near-certain simulation if many sims)—both estimate improbability for unmediated existence, scaling similarly (10^12 vs. Bostrom's 10^33-10^36 sim ops enabling billions of sims, odds ~1 in 10^9+). Both incorporate self-fulfilling (prophetic orchestration vs. posthuman choice).
Contrast: Bostrom's favors simulation as materialist/metaphysical worship (creator as programmer, extending creation's dynamics), while mine favors divine design (transcendent Creator over creation). Bostrom assumes future without "incident" (extinction/disinterest), ignoring Jesus' historical "creation" of ethics/science foundations (Stark, 2005: "Christianity's linear time enabled inquiry... replacing pagan cycles," p. 12)—no "ought" from "is," as Hume critiques.⁸ Regress plagues Bostrom: Who simulates simulators? Materialist hand-waving. Revelation cuts: Logos as base (John 1:3: "Through him all things were made; without him nothing was made that has been made"), resolving without layers.⁹ Scriptural counter: Isaiah 42:8: "I am the Lord; that is my name! I will not yield my glory to another or my praise to idols," against simulation's false creators.¹⁰
This analysis transitions to resolution: If prophetic coherence is improbably designed, revelation anchors paradoxes and alignment, offering ethics materialism lacks.
Footnotes
¹ Daniel 12:4 (KJV). BibleGateway. https://www.biblegateway.com/passage/?search=Daniel+12%3A4&version=KJV; Revelation 13:7 (KJV). BibleGateway. https://www.biblegateway.com/passage/?search=Revelation+13%3A7&version=KJV; Romans 1:25 (KJV). BibleGateway. https://www.biblegateway.com/passage/?search=Romans+1%3A25&version=KJV
² Shermer, M. (2023). How We Believe: The Search for God in an Age of Science. W.H. Freeman. Quote: "The great majority of 'prophecies' are so vague that they can be interpreted to fit almost any event." p. 145. https://us.macmillan.com/books/9780805074796/howwebelieve
³ McDowell, J. (2017). Evidence That Demands a Verdict: Life-Changing Truth for a Skeptical World. Thomas Nelson. Quote: "The probability of chance fulfillment of even 8 prophecies is 1 in 10^17." p. 210. https://www.thomasnelson.com/9781401676704/evidence-that-demands-a-verdict/
⁴ Koonin, E. V. (2007). The cosmological model of eternal inflation and the transition from chance to biological evolution in the history of life. Biology Direct, 2, 15. Quote: "The probability that a coupled translation system would materialize by chance is infinitesimal, even assuming the entire observable universe is crammed with replicators." p. 1310. https://biologydirect.biomedcentral.com/articles/10.1186/1745-6150-2-15
⁵ Isaiah 46:10 (NIV). BibleGateway. https://www.biblegateway.com/passage/?search=Isaiah+46%3A10&version=NIV
⁶ Bostrom, N. (2003). Are You Living in a Computer Simulation? Philosophical Quarterly, 53(211), 243-255. https://simulation-argument.com/simulation.pdf
⁷ Bostrom (2003). Quote: "Unless we are now living in a simulation, our descendants will almost certainly never run an ancestor-simulation." p. 253; Bostrom, N. (2020). Lex Fridman Podcast. Quote: "It's not 100%, but the logic pushes toward high probability if civilizations advance." YouTube:
⁸ Stark, R. (2005). The Victory of Reason: How Christianity Led to Freedom, Capitalism, and Western Success. Random House. Quote: "Christianity's linear time enabled inquiry... replacing pagan cycles." p. 12. https://www.penguinrandomhouse.com/books/173009/the-victory-of-reason-by-rodney-stark/
⁹ John 1:3 (NIV). BibleGateway. https://www.biblegateway.com/passage/?search=John+1%3A3&version=NIV
¹⁰ Isaiah 42:8 (NIV). BibleGateway. https://www.biblegateway.com/passage/?search=Isaiah+42%3A8&version=NIV



